Is soil sampling appropriate for quantitative carbon accounting for biochar? An experimental investigation to assess soil carbon accumulation
This week, we deep dive into a paper recently published in Biomass and Bioenergy. The study was led by David Chiaramont, affiliated with the Department of Energy “Galileo Ferraris” of the Polytechnical University of Turin in Turin (Italy) and the Renewable Energy Consortium for Research and Demonstration in Florence (Italy).
The study investigates whether conventional soil-sampling protocols are suitable for accurately quantifying soil carbon accumulation (SCA) when biochar is used as a carbon dioxide removal (CDR) method. Based on a 75 m² controlled plot with biochar amendment, the experiment compares the expected carbon added via biochar with measured soil organic carbon (SOC) and bulk density variations. The authors find large spatial heterogeneity, non-statistically significant differences, and some cases in which SOC measures are higher than the carbon introduced, highlighting serious limitations in the sampling method. They argue that these shortcomings undermine the capacity to reliably link carbon farming practices to verifiable carbon credits under frameworks like the Renewable Energy Directive II (RED II) in the EU. Ultimately, the paper calls for integrated approaches combining robust modelling and enhanced experimental design alongside—or instead of—traditional soil sampling, with important implications for policy and operational design of biochar-based removal pathways.
While biochar is increasingly recognised as a viable CDR option, and regulatory frameworks like RED II (and its implementing regulation) include soil carbon accumulation (SCA) factors to credit this, the actual empirical validity of sampling methods has been little scrutinised. This paper fills this gap by designing an experiment on three contiguous 25 m² plots (total 75 m²) in a homogeneous area, applying biochar, and then measuring SOC, bulk density, and carbon stocks before and after tillage and amendment. They test the assumption of homogeneity and stability underlying many sampling protocols and show that even in this fairly controlled environment, spatial variability, blending challenges of biochar, and small sample volumes used for analytics introduce substantial uncertainty.
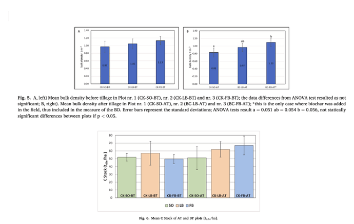
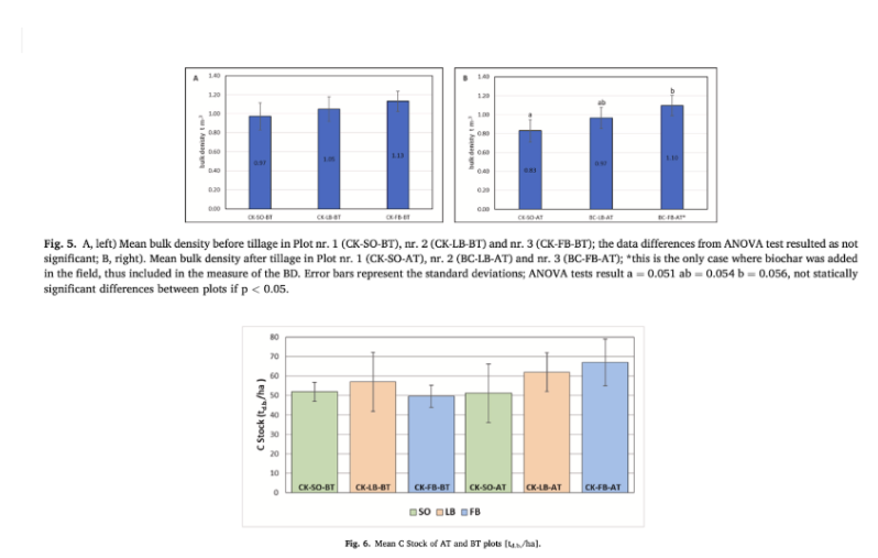
Their findings show that adding biochar results in a statistically significant measured increase in carbon stock in the amended plots: for example, 66.9 tdb/ha (tonnes of dry biomass per hectare added), compared to around 51.1 tdb/ha in the control, after tillage. However, the expected carbon stock based on biochar introduction (8.9 tdb/ha) did not align neatly with the measured values: there was a deviation of ~2.0 to 6.9 tdb/ha from what was expected in the two amended plots. Moreover, the standard deviations were high, and the SOC variations before tillage showed no statistically significant difference across plots, implying high uncertainty in the baseline. The authors emphasize that the magnitude of sampling uncertainty and spatial heterogeneity makes it very difficult to convert measured SOC changes into credible, economically viable removal credits.
Here is a list of the main takeaways of this paper:
- Conventional soil sampling protocols (composite sampling of small soil volumes) show major limitations even in a small, homogeneous plot, casting doubt on their suitability for carbon crediting frameworks.
- Biochar amendment has a positive effect on measured carbon stocks, but the mismatch between expected and measured stocks signals major uncertainty in measurement.
- Spatial heterogeneity of soil properties and difficulties in uniformly blending biochar into the soil strongly affect the reliability of measured soil organic carbon changes.
- Given the measurement uncertainty, policies that rely solely on soil sampling for SCA may face operational and credibility challenges when assigning carbon removal credits.
- An integrated approach—combining field sampling, validated modelling frameworks, and rigorous experimental design—would be needed for scientifically robust and quantitatively defensible accounting of greenhouse gas mitigation benefits from biochar.
Read the full paper here: Is soil sampling appropriate for quantitative carbon accounting for biochar? An experimental investigation to assess soil carbon accumulation
